游戏简介
千维计算器手机版涵盖长度、面积、体积、质量、温度、时间等多维度单位换算功能。千维计算器的设计简洁明了,用户可通过简单输入快速获得换算结果。千维计算器手机版下载里支持常用及专业单位,适用于学习、工作及日常生活多种场景,方便用户查找和重复使用常用转换。
1、首先我们点击下方蓝色按钮中的第一个【自由公式】按钮。

2、接着再点击右上角的【+】,创建自定义公式。

3、第一行填写【公式名称】,第二行填写【公式内容】,填完后点击右上角【√】保存。

4、保存完成后,就可以在【公式列表】最下方看到创建好的公式。

5、点进公式,【输入】对应的数值,即可自动完成计算。

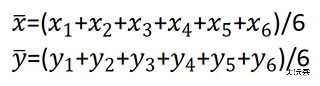
1、先把n个数据测量值画在坐标纸上,如果呈现一种直线趋势,才可以进行最小二乘法(直线回归法)。

2、然后就是计算这些n个数据点的横坐标平均值和纵坐标的平均值:

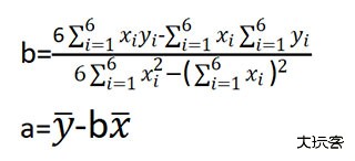
3、接着计算所有点的横坐标求和结果,以及所有点的纵坐标求和结果:

4、然后是计算每个数据点横坐标的平方,然后求和,以及计算每个点横坐标乘以纵坐标的乘积,然后求和:

5、最后就是利用两个公式,把将要求的直线方程中的截距a和斜率b这两个参数代入上面的公式计算出来:

6、求出了a和b这两个参数之后,就可以得到直线方程:y=ax+b。这个时候还要利用这个方程,先取两个点,这两个点要求横坐标x1和x2距离比较远,这样误差会比较小(太近的两个点,误差比较大),然后分别代入刚求出来的直线方程y=ax+b,求出对应的y1和y2,然后把(x1,y1)和(x2,y2)描点在坐标纸上,这样就可以利用两点画出一条最终的回归直线了。

7、用户可以按照上述的创建自定义公式方法在千维计算器中创建最小二乘法的公式,然后进行方便计算。

1、自动保存计算过程,同时支持手动点按“=”手动保存计算记录
2、语音自动播报按键效果,同时支持设置为按钮点击音效或者静音
3、计算支持四则运算与分步计算两种模式,界面中可以直接切换实时显示计算结果
4、支持国际主流的工程计量单位换算
5、支持36内的进制间自由转换
6、支持厘米尺子等生活实用工具
7、高精度计算,支持28位有效数字,小数15位有效数字
8、千维计算器手机版支持主流的三角函数,开方函数计算
1、功能设置专业,各种不同的计算模式都方便快捷。
2、免费的使用里面更多不同的工具,在计算的过程中享受更多精准的数据。
3、输入你需要填写的数字,就可以进行分步运算。
4、千维计算器手机版最常见的四则运算,进行快速的查找使用。
v6.8.10
-修复了已知问题
游戏信息
更多资讯MORE +
相关专题MORE +